
你一定要知谈往常许多事,躲是躲不掉的,怕是怕不完的,你唯有一股浩气来保护我方。——曾仕强
浩气存内,邪不可干。——《黄帝内经》
曾有个网友问:中国有什么访佛日本武士谈这么便捷演绎输出的精神?
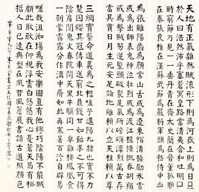
高赞复兴:在王人太史简,在晋董狐笔; 在秦张良椎,在汉苏武节;为严将军头,为嵇侍中血,为张睢阳齿,为颜常山舌; 或为辽东帽,清操厉冰雪;或为兴师表,鬼神泣兴盛。或为渡江楫,高亢吞胡羯,或为击贼笏,逆竖头闹翻。是气所磅礴,凛然永劫存。当其贯日月,存一火安足论! 地维赖以立,天柱赖以尊。三纲实系命,谈义为之根。

自隋唐始创科举轨制以来,中国历史上共出过600多位状元,宋朝共出过118位状元,而最出名的,也莫过于文天祥。
文天祥(1236-1283)字履善,自号文山,南宋末期庐陵(今江西吉安县)东谈主。19岁时获庐陵乡校老到第别称,宝祐四年(1256年)二十岁选取进士,在集英殿答对论策,宋理宗亲身选择他为第别称,官至右丞相兼枢密使。
1275年,元军向南蹙迫宋朝,文天祥卖掉家产,征兵组织义军拱卫南宋都城临安,兵败后仍都督各路军马,派东谈主赴各地募兵筹饷连续抗元。宋朝重文轻武,文天祥官至丞相又掌管军权,为第一东谈主。
直到1278年被元军俘虏,张弘范(辅佐元军统带伯颜,消一火南宋的主要教育者)对文天祥说:“当今宋朝消一火,丞相依然尽到终末一派忠诚,您只消回心转意,归顺咱们大元皇上,还能保捏您丞相的地位。”
文天祥视为畏途:“国一火不成救,四肢臣子,死多余罪,怎敢怀有二心赧颜苟活呢。”尔后被押解元多半,路上绝食八日,不死。
文天祥在狱中又羁押三年,受尽折磨,元军致使拿文天祥配头,男儿恫吓,他长久莫得屈服。
尔后忽必烈亲身劝降,文天祥碰面不愿下跪,只作揖,元世祖问:"你有什么愿望?"文天祥复兴说:“天祥深受宋朝恩德,身为宰相,哪能抚育二姓,愿赐我一死就得志了。”
忽必烈见劝降颓废,第二寰球令正法文天祥。1283年1月9日,北京菜市口万东谈主围不雅,文天祥戴着桎梏,激情安宁,来到法场。
他问附近庶民,哪一面是南边,庶民指给他。文天祥朝着正南边向拜了几拜,端法律诠释正坐了下来,对监斩官说:“我的事扬弃了。”东谈主生自古谁无死,留取赤心照史册。
其妻欧阳氏收尸时,于衣带中发现绝笔:“孔曰成仁,孟曰取义;惟其义尽,是以仁至。读圣贤书,所学何事?而今尔后,庶几无愧!”

在坎坷五千年的中汉文雅史上,咱们的先人一直想法“养浩然浩气欧洲杯体育”,作念顶天随即的“大丈夫”,“攫金不见人,贫贱不成移,英武不成屈”;“全军可夺帅也,匹夫不可夺志也”;“孤单浩气为东谈主师,家贫壁立能生威”;“不要东谈主夸好方式,只留浩气满乾坤”。这种浩然浩气恰是中华英才五千年生生不停巍然屹立于世界东方的宏大泉源。

2400多年前的孟子对此有过简陋敷陈。有东谈主问孟子:“先生,您擅长什么?”孟子复兴说:“我善养浩然之气。”那么,什么是浩然之气?孟子说:“其为气也,至大至刚,以直养而无害,则塞于寰球之间。其为气也,配义与谈。无是,馁也。是集义所生者,非义袭而取之也。”
酷好是说,这浩然之气啊,最刚直光明,最强劲有劲,用正直去培养而不加以防碍,就会充塞寰球之间。浩然之气,是与谈义相匹配的。要是失去谈义,这气也会随之灭绝。浩然之气必须依赖耐久的循谈义而行才气汲引而成,绝非一时的偶尔行义可得胜。养成它不易,防碍它却很陋劣,只消心一不正,就地就完。
养浩然浩气,可作念到:“心正、身正、附近正、朝庭正、寰球正”。
